この記事は、
こちらの2018年の素数大富豪で遊ぼう会で出た素数集計記事の後編です。
前編では、主に出された枚数を基準にした集計でしたが、後編では、数ごとの集計がメインになります。
上半期とデータの比較をしたい場合は、こちらの記事もご覧ください。
数ごとの集計
それぞれの数が、期間中に何回出されたかを集計とったのが表9です。
表9 数ごとの集計

※集計の都合上、合成数出しは除く
☆第1位☆ 57
上半期時点では1213に次いで2位のグロタンカットでしたが、なんと1位に!181回も出現しています。
素数大富豪で遊ぼう会で一番出される数は素数ではなく合成数です!いや、57はそす...(ry
グロタンカットは、手番を持ち続ける手段としてやはり人気ですね。
☆第2位☆ 1213
57に抜かれ2位となりました。165回出されています。
順位こそ下がりましたが、2枚出し最強素数として相変わらず親しまれています。素数大富豪で遊ぼう会も12月13日は今のところ必ず開催していますしね!
☆第3位☆ 13
上半期と変わらず。3位は1枚出し最強の13です。105回の出現。
☆第4位☆ 131311
4位は3枚出し最強の131311でした。3枚出しが出たら必ずといっていいほどこの素数で切られますよね...!
☆第5位☆ 11
前回の7位から順位を上げました。70回の出現です。
最強素数でも特殊効果数でもない素数がトップ5に入ったのは初めてです!
1枚出しの時にはそこそこ強く、かつ革命下では2枚出し最強素数になるので、出される機会が増えたのでしょう。
6~11位
このあたりはかなり僅差です。試合展開をかき乱す代表格のラマヌジャン革命、4枚出し最強のKJQJ、1枚出しの2、5、ジョーカー、2枚出しで比較的強い811がランクインしています。57~66回出されています。
12位~30位
このあたりは、1枚出しの残りの数や、2枚出し素数、そして3枚5、6桁の頻出素数と4枚出しで3番目に強いKTQJ(13101211)がランクイン。素数大富豪で定番と言われる素数が大方揃ってきます。24~45回出されています。
31位~49位
3枚出しの偶数消費型素数などが続々とランクイン。語呂合わせの443(しじみ)、523(ゴツ美)、877(バナナ)などはこのあたりです。12~23回出されています。
52位~81位
5枚10桁が続々とランクイン。5枚出しで最もよく出される素数はやはりKKQTJ(1313121011)です。強さとしては2番目ですが、バランスの良さで比較的出しやすいです。5枚出しになると必ずしも最強素数でなくても場が流せる可能性が高くなるので、5枚出しの大きい素数は「出しやすい」ものが出されていく傾向にあります。
コックさん(593)や、3桁最大の997、4桁最大の9973もここで出てきます。8~11回出されています。
94位~133位
マイナーな2枚出し素数や、下位互換、奇数消費型の3枚出し素数が登場するほか、4枚出しが多く登場します。そして6枚出しから9101112131と121012101311がランクイン。148Xや8104Xの四つ子素数も登場します。4~7回出されています。
165位
3回出された素数です。5枚出し素数がかなり増えてくることや、1211386Xや410510812Xなどの多枚出し四つ子素数も登場するほか、105863(東郷八郎さん)や8631097(ハムサンド食うな)などのちょっと長めな語呂合わせ素数も出てきます。
このあたりになると、素数の「ご当地感」がよく出てきますね。
239位
2回出された素数です。2桁以下の素数はここですべて出そろいます。4、5桁の素数がかなり多いですが過半数が6桁以上の素数。偶然同じ回に2回出されたきりの素数も多くあります。多枚出しや四つ子素数などは、同じカテゴリとして出していても数がばらけてしまうので素数ごとの回数としては少なくなってしまいます。
367810111213(春の海素数)などがここにランクイン。
389位
最後に1回きりしか出されなかった素数です。しかし素数大富豪で出しうる素数は数百万程度あるともいわれており、1回出されただけでもかなり光栄です!
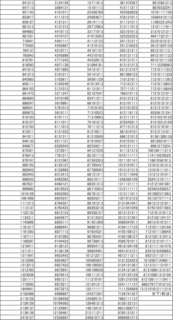
せっかくなので、オンリーワンの664個の素数を全部まとめてみました(表10)。
表10 1回出された素数


197に始まり、1313101012111211に至るまで、3桁~16桁の素数たち。
16桁はエクセルの処理上の問題で強制的に四捨五入されてしまうほど大きい素数です。
ここには、たまたま出会った素数、四つ子素数、多彩な語呂合わせ素数など、1回きりしか出されていないからこそ思い出深い素数がいっぱいです。1年間の思い出が詰まった素数表になります。参加した各位も、そうでない各位も、1度は順を追ってご覧いただければと思います。
あの日、あの場所で、あの素数を。
素数大富豪で遊ぼう会は、これからも素数大富豪ファンの皆様が自由に遊べる場所として続けていこうと思います。
改めまして、今年1年間本当にありがとうございました。来年もよろしくお願いします!
新年1発目の素数大富豪で遊ぼう会は、1/13にあります。ふるってご参加いただければと思います!

それでは皆様、よいお年を。